02.05.2017
Что впереди?
Бурное развитие цифровой рентгенотехники с большой долей вероятности позволяет прогнозировать, что в недалеком будущем
рентгенологическая служба, как впрочем, и вся лучевая диагностика, будет организована на совершенно новой беспленочной компьютерной технологии.
Бурное развитие цифровой рентгенотехники с большой долей вероятности позволяет прогнозировать, что в недалеком будущем рентгенологическая служба, как впрочем, и вся лучевая диагностика, будет организована на совершенно новой беспленочной компьютерной технологии.
Для становления этой технологии необходимо решить целый ряд проблем и задач, краткому перечислению которых посвящена настоящая статья.
1. Новое место рентгеновской аппаратуры в системе медицинской диагностики.
Оснащение отделений лучевой диагностики современного лечебно профилактических учреждений в последние годы претерпевает значительные изменения, диктуемые прежде всего общими тенденциями развития аппаратуры для лучевой диагностики.
Помимо общей тенденции перехода к цифровым методам формирования медицинских изображений, наблюдающейся во всех видах лучевой диагностики, в последние годы отмечается отчетливый сдвиг в основных областях медицинского применения тех или иных направлений рентгенодиагностики.
Основные изменения в медицинских технологиях, наблюдающиеся в развитых странах мира, заключаются в следующем:
-
Расширение областей применения ультразвуковых исследований — УЗИ (3D и 4D — изображения, цветное доплеровское картирование, цветная УЗ-ангиография, УЗ-исследование молочной железы женщин).
-
Расширение областей применения рентгеновской компьютерной томографии РКТ, определяемое новыми возможностями
спиральных мультидетекторных систем, обеспечивающих получение 3D-изображений за время, исчисляемое долями секунды. -
Расширение областей применения магнитно-резонансной томографии (МРТ), связанное с развитием программных возможностей преобразования изображений, обеспечением МР-ангиографии, применением МР-контрастирования на основе соединений гадолиния и удобством эксплуатации постоянных магнитов в системах МР-томографов.
Наименьшему изменению подверглись, пожалуй, технологии в радиоизотопной диагностике. В настоящее время все гамма-
камеры обеспечивают возможности эмиссионной томографии.
Принципиально новые возможности обеспечивает двухфотонная позитронно-электронная эмиссионная томография (ПЭТ), обеспечивающая повышенное пространственное разрешение изображения, но требующая новых радиоизотопных химических реактивов с энергиями гамма-кванта выше 1024 кэВ.
Сужение областей применения классической рентгенологии не только пленочных, но и цифровых технологий формирования
изображений относится практически ко всем видам рентгеновских исследований:
-
Рентгеновское исследование желудочно-кишечного тракта (ЖКТ): в последние годы в несколько раз уменьшилось количество рентгеновских просвечиваний ЖКТ за счет эндоскопии, виртуальной эндоскопии при РКТ, УЗИ почек, печени и поджелудочной железы.
-
Исследование грудной клетки: традиционная профилактическая рентгенография плавно уступает место обзорным исследованиям легких при РКТ, а диагностическое рентгеновское исследование трехмерной компьютерной томографии — РКТ.
-
Рентгенография костно-суставной системы: отмечается отчетливая тенденция все большего привлечения к диагностике
заболеваний костей классической рентгенографии МРТ дает существенно больше дигностически важной информации о состоянии мягких тканей,окружающих зону костной травмы или патологии.
-
Исследования сердечно-сосудистой системы: рентгеновская ангиография заметно уступает место методам УЗ, РКТ, МР-ангиографии.
-
Рентгеновский контроль в операционных: активно развивается рентгеновский и УЗ-контроль при хирургических операциях,особенно при внутрисосудистых вмешательствах. Здесь все большую роль начинают играть многоцелевые передвижные хирургические аппараты типа «С-дуга».
-
Маммография: до сих пор рентгеновское исследование доминирует . Однако в недалеком будущем ожидается появление достаточно информативных методов электромагнитной и УЗ-маммографии.
-
Дентальная рентгенология: это, пожалуй, единственная область рентгенологии, сохраняющая свое значение. Можно говорить лишь о внедрении методов РКТ и МРТ в челюстно-лицевую диагностику.
При всех этих тенденциях общее количество рентгеновских исследований в мире постоянно возрастает на 1-2%, также как и
генетически значимая доза облучения населения. Целесообразность применения того или иного метода лучевой диагностики определяется областью исследования в организме. Часть методов(КТ, МРТ, радиоизотопная диагностика) можно использовать для обследования практически любой области тела человека [1], однако их применение сдерживается высокими капитальными и текущими затратами. Поэтому рентгенология продолжает удерживать лидирующее место. По данным компании «Fuji Medical System» [2] на 2001 год, распределение методов визуализации по качеству исследований представлено на рис. 1.
Рис. 1. Частота использования методов лучевой диагностики (данные на 2001 г.).
Для сохранения лидерства рентгенотехника должна перейти на цифровые технологии, которые поставили перед ней целый ряд проблем. Некоторые проблемы были поставлены еще перед аналоговой рентгенотехникой, но она не смогла их решить.
2. Главная проблема внедрения цифровых технологий.
С точки зрения авторов, главная проблема заключается в разработке теоретических основ цифровой рентгенотехники, так как
многие разделы основ аналоговой рентгенотехники требуют пересмотра [3]. При ее внедрении это касается всех звеньев как систем восприятия рентгеновских изображений, так и системы его формирования, начиная от рентгеновского питающего устройства и заканчивая монитором. Кроме того, появились совершенно новые разделы рентгенотехники: цифровые приемники, цифровые видеопроцессоры, системы передачи и хранения цифровых изображений (PACS), радиологические информационные системы (RIS),госпитальные информационные системы (GIS) и телерадиология.
Для построения современной рентгеновской аппаратуры необходим единый информационный подход, учитывающий все составляющие технических средств цифровой рентгенотехники.
Эта главная проблема внедрения не может быть решена без создания единой системы понятий, методов и средств испытаний и проверки основных параметров аппаратуры нового поколения. Эта работа широко ведется в мире, в том числе и в нашей стране, уже по крайней мере 10 лет. Создан ряд международных рекомендаций
Международной электротехнической комиссии и ряд отечественных стандартов ГОСТ Р в рамках технического комитета ТК 411«Аппараты и оборудование для лучевой диагностики, терапии и дозиметрии» Госстандарта РФ (ВНИИИМТ). Работа должна систематически продолжаться до создания полной единой системы характеристик цифровых изображений, методов и средств испытаний цифровой рентгеновской аппаратуры.
Не менее важной проблемой является согласование параметров теневого рентгеновского изображения с информационными
характеристиками цифрового приемника. Пленочные системы визуализации, в течение всего XX столетия господствующие в рентгенотехнике, не могли обеспечить согласования детальности и контраста невидимого изображения с разрешающей способностью и динамическим диапазоном приемника.
Чувствительность рентгенографических комплектов для общей рентгенологии, имеющих разрешающую способность 5—10 мм-1, не позволяет использовать маломощные острофокусные рентгеновские трубки с фокусным пятном менее 0,6 мм. Это приводит к тому, что разрешающая способность приемника оказывается избыточной по отношению к спектру пространственных частот невидимого рентгеновского изображения. В результате разрешающая способность рентгеновского аппарата при увеличениях объекта около 1,2 мм, что соответствует исследованиям глубоко залегающих органов (легких, сердца, ЖКТ), ограничивается геометрической нерезкостью и оказывается существенно меньше разрешающей способности приемника [4]. С другой стороны, динамический диапазон рентгенографических комплектов (20—30) не позволяет отразить контраст теневых изображений исследуемых органов, который может достигать 100 раз и больше.
В цифровых рентгеновских аппаратах отсутствуют принципиальные ограничения для решения этой проблемы. Уже в сущест-
вующих цифровых рентгеновских аппаратах проблема динамического диапазона решена. Для согласования детальности изображения с разрешением приемника необходимо решить проблему микрофокусной рентгенографии, которая позволит полностью реализовать разрешающую способность приемника, а при увеличениях объекта обеспечить разрешение деталей, меньших таковой приемника (точнее, максимально уменьшить размер фокуса рентгеновской трубки, максимально увеличив удельную нагрузку на фокус).
Для описания процесса формирования рентгеновского изображения и его визуализации целесообразно в ряде случаев ис-
пользовать язык теории информации, что вскроет несоответствия между характеристиками теневого изображения (детальностью, подвижностью, контрастом) и параметрами приемника — пространственной и временной разрешающей способностями и динамическим диапазоном. Это позволит согласовать детальность изображения с пространственной разрешающей способностью, контраст — с динамическим диапазоном, подвижность — с временной разрешающей способностью. Чтобы пояснить эту мысль, приведем пример. Как указывалось выше, при фокусах рентгеновских трубок
более 1,2 мм детальность формируемого изображения оказывается ниже разрешающей способности рентгенографических комплектов, а контраст входного изображения выше их динамического диапазона.
3. Проблема снижения дозы при исследовании.
Сколько существует рентгенотехника, столько существует проблема снижения лучевых нагрузок.
В аналоговых системах необходимая доза определялась условием достижения необходимойплотности почернения пленки (D=1-1.5).
В цифровых условиях ,это полностью меняет смысл из-за широкого диапазона приемника.
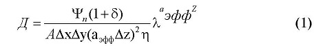
Ниже приведено соотношение,которое показывает, какая доза необходима перед фантомом для обнаружения в фантоме толщиной Z детали площадью S = ДхЛу и контрастом К = аэффА7 [5]:
Здесь ¥n — пороговое отношение сигнал/шум; 5 — отношение величины вторичного излучения к первичному во входной плоскости детектора; А — коэффициент, характеризующий число квантов на единицу площади изображения фона при выбранной жесткости излучения; аэфф — эффективный коэффициент линейного ослабления; п — квантовая эффективность приемника.
Из соотношения (1) видно, что при одинаковых условиях съемки (аэфф = const) одних и тех же фантомов (равенство S, K, Z)
Для идеального аппарата (при отсутствии рассеяния от объекта) 5 = 0, п = 1 и В = 1. Поэтому соотношение (2) указывает, во
сколько раз доза на реальном аппарате больше, чем на идеальном.На рис. 2 представлена зависимость В от 5 при различных квантовых эффективностях п.

Рис. 2. Зависимость В от 5при различных квантовых эффективностях п
При предельной квантовой эффективности (п= 1) доза полностью определяется влиянием рассеянного излучения
В = 1 + п (3)
Из рис. 2 видно, что проблема предельного снижения лучевых нагрузок еще ждет своего решения. Из соотношения (1) следует,что перспективным направлением снижения лучевых нагрузок может быть увеличение жесткости рентгеновского излучения сверх значений, принятых в аналоговой рентгенотехнике, и поиски путей снижения рассеянного объектом излучения.
Соотношение (1) показывает также, что корректное сравнение рабочих доз рентгеновских аппаратов необходимо проводить,
указывая не только квантовую эффективность, но и жесткость рентгеновского излучения, площадь обнаруживаемой детали и ее контраст.
Убедительным подтверждением этого являются маммография и КТ. В первом случае высокие лучевые нагрузки обусловлены требованием разрешения деталей размером 25—50 мкм, а во втором —контрастной чувствительностью 0,5% и менее.
Рентгеновский аппарат конкретного назначения должен иметь качество изображения настолько высокое, насколько это необходимо для диагностики, и настолько низкое, насколько это возможно.
Экспериментальное сравнение рабочих доз аппаратов может быть осуществлено с использованием водного фантома и теста деталь-контраст.
Наиболее распространенным тест-объектом деталь-контраст принят CD RAD фирмы «Nuclear Ass», представляющий пластину из оргстекла с отверстиями, диаметр которых и глубина изменяется от 0,3 до 8 мм, расположенными в 225 ячейках по случайному закону (2 отверстия в ячейке).
В ЗАО «Амико» разработан аналогичный тест-объект ТДК-1 с диапазоном изменения по диаметру и глубине 0,5—8 мм с одним отверстием в центре ячейки. Оба тест-объекта позволяют оценить границу различимости параметра деталь-контраст.
Однако в обоих случаях глаз работает по разному: при наличии двух произвольно располагаемых отверстий в ячейке глаз работает на эффект различимости с так называемым краудинг-эффектом [7], при одном — имеет место обнаружение по принципу да-нет.
Здесь также необходимо установление единства оценок.
4. Обработка и представление изображений.
Многовариантность скиалогического отображения нормы и патологии, непредсказуемость их проекционных сочетаний на
рентгенограммах пока не позволяют решить такую фундаментальную проблему, как автоматическое разделение нормы и патологии.
Еще в 50-х годах прошлого века ученые приступили к исследованию рентгенодиагностики с учетом возможностей автоматизированных средств принятия решений в рентгенологии [8]. С тех пор было опробовано множество различных методов, но ни один из них до настоящего времени не получил широкого клинического применения. Эта проблема ждет своего решения в XXI веке, которое может оказаться еще одной революцией в лучевой диагностике.
Более обнадеживающие результаты получены в рентгенодиагностике с компьютерной поддержкой (так называемые экспертные системы). В ряде фирм уже разработаны цифровые алгоритмы выявления на изображении подозрительных участков, на которые система обращает внимание рентгенолога с помощью особых маркеров с целью уменьшения числа пропущенных патологий.
Например, фирма GE использует компьютерную поддержку в маммографии для уменьшения числа пропущенных раковых опухолей.
Близкие решения использует отечественная компания «Медицинские технологии».
В настоящее время в рентгенотехнике изображения отображаются главным образом в серой шкале, т. е. не используются возможности цветового зрения по извлечению информации из изображения. Цветовое кодирование рентгеновских изображений и спектро-зональное рентгенотелевидение еще не нашли широкого применения, но они имеют большие потенциальные возможности. В первую очередь отметим использование цветового отображения в КТ при реконструкции объемных изображений.
Это направление использования возможностей цветового зрения интенсивно развивается. Дело в том, что анализ многочисленного количества срезов, полученных при КТ, наталкивается на трудности переработки огромного
объема информации. Синтез из срезов объемного изображения исследуемых органов и их окраска в псевдоцвета в целом ряде случаев позволяет решить эту проблему. Но многие вопросы представления внутренних органов в объеме с раскраской еще не решены.
Многочисленные попытки цветового контрастирования обычных рентгенограмм, несмотря на ряд положительных результатов [6], не получили применения в клинической практике. Вероятно, причина кроется в многочисленных феноменах цветового
зрения [4], могущих привести к гипердиагностике. Но полный от каз от раскраски обычных рентгенограмм, по мнению авторов,
ошибочен. Учитывая возможности цифровой техники, необходимо воспользоваться положительными результатами раскраски рентгенограмм, а рассматривать раскрашенные изображения как дополняющее,но не заменяющее первоначальную пленку, выбирая принцип цветового кодирования.
Спектрозональные (многозональные) рентгеновские аппараты,несмотря на более чем полувековой период исследований, еще не вышли из стен лабораторий. Исключение составляют двухзональная остеоденситометрия и двухэнергетическая субтракция, позволяющие получать отдельные изображения мягких тканей и костей.
В ближайшем будущем предстоит воплотить в жизнь возможности информационного обмена рентгенологической информацией. Телерадиология в России находится в зачаточном состоянии.
Для ее эффективного развития необходим проект на федеральном уровне.
Большинство рентгенологов и рентгенлаборантов еще находятся «в плену» у пленочной технологии. Для отказа от привычных
представлений у практикующего специалиста существуют психологические сложности. Необходима кардинальная перестройка подготовки рентгенолога и рентгенлаборанта. В нашей стране к этой проблеме добавляется не научная, однако от этого не снижающая своего чрезвычайного значения проблема повышения экономического статуса рентгенолога и рентгенлаборанта.
Цифровая рентгенотехника стимулировала широкое развитие интервенционной радиологии. К сожалению, отечественная промышленность не производит специализированных аппаратов для этих целей, если не считать хирургических рентгеновских аппаратов малой мощности (до 3,5 кВт).
Непрерывный режим просвечивания при интервенционной рентгенологии не согласован с подвижностью исследуемых орга-
нов и инерционностью приемников. Результат: высокие лучевые нагрузки и большая динамическая нерезкость. Непрерывная рентгеноскопия в новых разработках для интервенционной рентгенологии должна быть исключена. Необходим режим просвечивания короткими импульсами, следующими с частотой, которая согласована с подвижностью исследуемых органов.
Однако импульсная рентгеноскопия предъявляет жесткие требования к крутизне фронтов импульсов. При этом возрастают преимущества рентгеновских трубок с сеточным управлением, которые до сих пор не получили широкого применения из-за их высокой стоимости.
В одной работе возможно лишь обозначить только основные проблемы цифровой рентгенологии, решение которых будет про-
должаться достаточно долго и не всегда легко. Однако без такой работы невозможно в полной мере использовать все огромные возможности новых технологий и она должна быть выполнена.
В заключение отметим, что цифровые технологии позволяют рентгенологии еще долго лидировать в лучевой диагностике.
Литература
-
Блинов Н. Н., Мазуров А. И. Разрешающая способность систем воспроизведения рентгеновских изображений // Медицинская техника. -2000. - № 5. - С. 12-15.
-
Блинов Н. Н., Мазуров А. И. Новые реальности в современной рентгенотехнике // Медицинская техника. - 2003. - № 5. - С. 3-6.
-
Блинов Н. Н. Глаз и изображение. - М.: Медицина, 2004.
-
Кравков С. В. Цветовое зрение. - М.: Издательство АНСССР,1951г.
5. Мазуров А. И. Пути снижения лучевых нагрузок в рентгенодиагностике // Вестник Северо-Западного отделения
Академии медико-технических наук. - 2003. - №° 7. - С. 97-101.
6.Технические средства медицинской интроскопии / Под ред. Б. И. Леонова - М.: Медицина, 1989.
7.Физика визуализации изображений в медицине / Под ред. С. Уэбба - М.: Мир, 1991.
Теги: пленка, обработка изображений, маммография, КТ, доза, разрещабщая способность
234567 Начало активности (дата): 02.05.2017 13:12:00
234567 Кем создан (ID): 645
234567 Ключевые слова: пленка, обработка изображений, маммография, КТ, доза
12354567899


